Egzaminy krótkofalarskie online – testy UKE i nauka do egzaminu
Test | Pozwolenie kategorii 1 | Stary zestaw pytań do 2023
1 / 20
Wiadomości techniczne z zakresu radioelektroniki
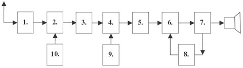
Na rysunku przedstawiono schemat blokowy odbiornika superheterodynowego FM na pasmo 144 MHz z podwójną przemianą częstotliwości, pracującego w kanałach fonicznych, stabilizowany kwarcami. Blok 8 to:
🔒 Jesteś niezalogowany — wynik tego testu nie zostanie zapisany w Twoich statystykach.
Po zalogowaniu możesz śledzić swoje postępy, korzystać z pomocy i powtórek. lub .